รงควัตถุสีแดง 176-Corimax แดง HF3C
รายการพารามิเตอร์ผลิตภัณฑ์
| หมายเลขดัชนีสี | เม็ดสีแดง 176 |
| ชื่อผลิตภัณฑ์ | Corimax Red HF3C |
| ประเภทสินค้า | เม็ดสีอินทรีย์ |
| หมายเลข CAS | 12225-06-8 |
| หมายเลข EU | 235-425-2 |
| ตระกูลเคมี | Benzimidazolone |
| น้ำหนักโมเลกุล | 572.57 |
| สูตรโมเลกุล | C32H24N6O5 |
| ค่าพีเอช | 7 |
| ความหนาแน่น | 1.6 |
| การดูดซับน้ำมัน (มล. / 100 กรัม)% | 40-60 |
| ความคงทนต่อแสง (เคลือบ) | 6 |
| ทนความร้อน (เคลือบ) | 180 |
| ความคงทนต่อแสง (พลาสติก) | 6-7 |
| ทนความร้อน (พลาสติก) | 250 |
| การกันน้ำ | 5 |
| ทนน้ำมัน | 5 |
| ความต้านทานต่อกรด | 5 |
| ความต้านทานต่อด่าง | 4-5 |
สี | ![]() |
| การกระจายเว้ |
คุณสมบัติ:
รงควัตถุสีแดง 176 เป็นเม็ดสีประสิทธิภาพสูงที่มีความคงทนสูงทนความร้อนได้ดีโปร่งใสและต้านทานการอพยพ
TDS (เม็ดสีแดง 176) MSDS(Pigment Red 176)การประยุกต์ใช้:
แนะนำสำหรับสีอุตสาหกรรม, สีฝุ่น, สีพาสเทล, พีวีซี, ยาง, PS, PP, PE, PU, สีน้ำ, หมึกตัวทำละลาย, หมึกยูวี
แนะนำสำหรับสียานยนต์, เคลือบสถาปัตยกรรม, เคลือบขดลวด, หมึกชดเชย
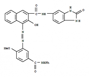
โครงสร้างโมเลกุล:

คุณสมบัติทางกายภาพและทางเคมี: สีน้ำเงินและสีแดง ความคงทนของแสงเป็นระดับ 6 เสถียรภาพทางความร้อนสูงกว่า 300 ℃ ความต้านทานตัวทำละลายอินทรีย์ถึง 4 ถึง 5 เกรดโดยไม่ต้องโยกย้าย
การใช้ผลิตภัณฑ์: ส่วนใหญ่ใช้สำหรับพลาสติกสี
รงควัตถุสีแดง 176
The 2-Naphthalenecarboxamide, N- (2,3-dihydro-2-oxo-1H-benzimidazol-5-yl) -3-hydroxy-4- [2- [2-methoxy-5 - [(phenylamino) คาร์บอนิล) ] diazenyl] - เป็นสารประกอบอินทรีย์ที่มีสูตร C32H24N6O5 ชื่อระบบของสารเคมีนี้คือ 3-hydroxy-4- [2-methoxy-5- (phenylcarbamoyl) phenyl] azo-N- (2-oxo-1,3-dihydrobenzimidazol-5-yl) naphthalene-2-carboxamide ด้วยหมายเลขทะเบียน CAS 12225-06-8 ก็มีชื่อเป็น N- (2,3-dihydro-2-oxo-1H-benzimidazol-5-yl) -3-hydroxy-4 - [[2-methoxy-] 5 - [(phenylamino) คาร์บอนิล] phenyl] azo] เหม็น-2-carboxamide ประเภทของผลิตภัณฑ์คือ Organics
คุณสมบัติทางกายภาพเกี่ยวกับ 2-Naphthalenecarboxamide, N- (2,3-dihydro-2-oxo-1H-benzimidazol-5-yl) -3-hydroxy-4- [2- [2-methoxy-5 - [(phenylamino) carbonyl ] phenyl] diazenyl] - คือ: (1) ACD / LogP: 6.96; (2) # ของกฎข้อ 5 การละเมิด: 4; (3) ACD / LogD (pH 5.5): 6.95; (4) ACD / LogD (pH 7.4): 6.95; (5) # H ตัวรับพันธบัตร: 11; (6) #H ผู้บริจาคพันธบัตร: 5; (7) # หมุนพันธบัตรได้อย่างรวดเร็ว: 8; (8) พื้นที่ผิวขั้วโลก: 153.51 Å2; (9) ดัชนีหักเห: 1.721; (10) การหักเหของแสงกราม: 157.67 cm3; (11) ปริมาณโมลาร์: 398.6 cm3; (12) Polarizability: 62.5 × 10-24cm3; (13) แรงตึงผิว: 61 dyne / cm; (14) ความหนาแน่น: 1.43 g / cm3; (15) จุดวาบไฟ: 357.3 ° C; (16) Enthalpy ของการระเหย: 101.63 kJ / mol; (17) จุดเดือด: 667.2 ° C ที่ 760 mmHg; (18) ความดันไอ: 2.05E-18 mmHg ที่ 25 ° c










