เม็ดสีเหลือง 97
Pigment Yellow 97 is a bright, durable yellow pigment commonly used in coatings, inks, plastics, and paints. Known for its excellent lightfastness, weather resistance, and non-toxic properties, it offers vibrant color with high opacity. This pigment provides superior color strength and is often chosen for applications requiring consistent, high-quality yellow hues. It’s widely used in industrial sectors such as automotive, textiles, and packaging, offering a reliable and long-lasting color solution. Pigment Yellow 97 is valued for its versatility, environmental safety, and ability to maintain color integrity even under harsh conditions.
| Synonyms | C.I.Pigment Yellow 97; C.I.PY97; PY97; P.Y.97 |
| C.I. Number | 11767 |
| หมายเลข CAS | 12225-18-2 |
| หมายเลข EU | 235-427-3 |
| สูตรโมเลกุล | C26H27CINN4O8S |
| ตระกูลเคมี | โมโนเอโซ |
| สี | ![]() |
| การกระจายเว้ |
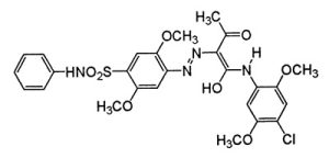
โครงสร้างโมเลกุล:

Pigment yellow 97 Physical, Chemical and Fastness Properties
| น้ำหนักโมเลกุล | 591.08 |
| ค่าพีเอช | 7.5 |
| ความหนาแน่น | 1.5 |
| การดูดซับน้ำมัน (มล. / 100 กรัม)% | 45 |
| ความคงทนต่อแสง | 7 |
| ทนความร้อน | 200 (°C) |
| การกันน้ำ | 5 |
| ทนน้ำมัน | 4 |
| ความต้านทานต่อกรด | 5 |
| ความต้านทานต่อด่าง | 5 |
ใบสมัคร
Pigment Yellow 97 finds application in various industries due to its vibrant yellow color. Some common applications include:
Paints and Coatings: Pigment Yellow 97 is used in the formulation of paints and coatings for decorative and protective purposes. It can be incorporated into water-based or solvent-based paints to provide a yellow hue.
Printing Inks: The pigment is utilized in the production of yellow printing inks for applications such as packaging, publications, and other printed materials.
Plastics: Pigment Yellow 97 is often employed in the coloring of plastics, including PVC (polyvinyl chloride), polyolefins, and other polymer materials. It imparts a durable and stable yellow color to plastic products.
Textiles: In the textile industry, this pigment may be used for dyeing fabrics, providing a yellow color to textiles and garments.
Inkjet Inks: Pigment Yellow 97 can be used in the formulation of inkjet inks for printing images and text on various substrates.
Artist Colors: Artists and manufacturers of art supplies may use Pigment Yellow 97 in the production of oil paints, acrylics, watercolors, and other artistic mediums.
Other Applications: The pigment may also be employed in a variety of other applications where a stable and vibrant yellow color is desired, such as in the coloring of cosmetics, rubber products, and specialty coatings.
ข้อมูลที่เกี่ยวข้อง
Pigment Yellow 97 is a hydroxyl-containing polycarboxylic acid that is used in the production of paints and plastics. It has an oxidation potential of +0.6 volts, which indicates that it is reactive. Pigment Yellow 97 has an absorption maximum at 526 nm and a molecular weight of 317.09 g/mol. The chemical structure of Pigment Yellow 97 consists of a molecule with a reactive carboxyl group and a reactive hydroxyl group, as well as an intramolecular hydrogen bond between the two groups. This pigment also forms coordination complexes with metals such as iron oxides to form particle pigments or mixtures with glycol esters to form solid particles or dispersions, respectively.
Names and Identifiers
IUPAC Name: N-(4-chloro-2,5-dimethoxyphenyl)-2-[[2,5-dimethoxy-4-(phenylsulfamoyl)phenyl]diazenyl]-3-oxobutanamide
InChI=1S/C26H27ClN4O8S/c1-15(32)25(26(33)28-18-12-20(36-2)17(27)11-21(18)37-3)30-29-19-13-23(39-5)24(14-22(19)38-4)40(34,35)31-16-9-7-6-8-10-16/h6-14,25,31H,1-5H3,(H,28,33)
InChIKey: WNWZKKBGFYKSGA-UHFFFAOYSA-N
Canonical SMILES: CC(=O)C(C(=O)NC1=CC(=C(C=C1OC)Cl)OC)N=NC2=CC(=C(C=C2OC)S(=O)(=O)NC3=CC=CC=C3)OC
Computed Properties
| Property Name | Property Value |
| น้ำหนักโมเลกุล | 591.0 g/mol |
| XLogP3-AA | 4.6 |
| Hydrogen Bond Donor Count | 2 |
| Hydrogen Bond Acceptor Count | 11 |
| Rotatable Bond Count | 12 |
| Exact Mass | 590.1238127 Da |
| Monoisotopic Mass | 590.1238127 Da |
| Topological Polar Surface Area | 162 Ų |
| Heavy Atom Count | 40 |
| Formal Charge | 0 |
| Complexity | 974 |
| Isotope Atom Count | 0 |
| Defined Atom Stereocenter Count | 0 |
| Undefined Atom Stereocenter Count | 1 |
| Defined Bond Stereocenter Count | 0 |
| Undefined Bond Stereocenter Count | 0 |
| Covalently-Bonded Unit Count | 1 |
| Compound Is Canonicalized | Yes |











